CUSTOM LENSES
A
Personalized Contact Lens Prescription
A
lens design and fabrication system lets practitioners design lenses for patient's
specific needs.
By P. Douglas Becherer, OD, FAAO, Robert
L. Davis, OD, FAAO, & Jeffrey A. Kempf, OD
All soft contact lens materials have two common characteristics: They're all made of monomers and water. This is where the similarities end. Fitting uniqueness, wettability, draping characteristics, tensile strength, hardness and oxygen permeability are specific to the polymer and allow a practitioner to manipulate the lens design.
SpecialEyes Contact Lens Co. has trademarked the name "personalized prescribing" to illustrate the alternatives you can control to guarantee a successful and safe outcome. SpecialEyes fabricating process allows you to independently design the contact lens base curve, diameter and water content of the hioxifilcon material. These design options offer the ability to customize the contact lens to solve each patient's distinctive vision and comfort problems.
The robotically integrated optical blocking and numerically controlled lathes deliver custom contact lenses in two to four days. Along with a guaranteed fit program, you can scientifically determine prescription refinement, offering each patient the best possible vision and comfort, according to the manufacturer.
Refining the prescription in any parameter allows you to develop a scientific fitting philosophy. If vision fluctuates, you need to alter the fit by either changing the base curve, the diameter or both. If the vision is consistent, but unacceptable, the power needs to be altered. If the fit is stable and physiologically acceptable, over-refracting and combining the cross cylinders delivers the final prescription.
Base curves and diameters are available in 0.1mm increments. Spheres and cylinders are available in 0.1D steps in any axis. You can choose a method of fitting that makes sense and develop your own exclusive fitting philosophy.
We'll describe four different fitting philosophies to help illustrate unique techniques you can use to arrive at the final contact lens design. The diameter of the cornea is important to understand the correct sagittal height of the eye. Some topographers allow you to measure the horizontal visible iris diameter (HVID) to within 0.1mm. A reasonably accurate method of measuring the HVID is to have the patient hold a contact lens reticule (jewelers loupe) up to his eye. Read the HVID just like measuring a diameter of a contact lens. Comparing the reticule method to the topographer finds that you can measure the HVID using the reticule to within 0.2mm.
Reticule Measuring of HVID
A 7X magnifier has a dioptric equivalent of a 28.00D lens. The reticule will bring the eye crisply in focus only if it's within a millimeter of the eye. If the eye is blurry, then the reticule isn't close enough to the cornea being measured. The working distance is similar to using a direct ophthalmoscope. In some cases, it might be necessary for the patient to hold the reticule up to his eye, but by using the middle finger to support the reticule on the eyebrow, you can usually move the reticule forward until the patient's cornea is clearly in focus.
Next, line the cornea up so that it's in the center of the reticule. Align the edge of the limbus on a whole number, such as 4, and measure over to the other side and record the measurement. If the limbus is set on the 0, there will be parallax error.
A good way to practice this technique is to use a rigid contact lens with a known diameter sitting with the concave side on a flat surface. Move toward the convex side of the contact lens with the reticule until the contact lens is in sharp focus. Measure the contact lens and see how close the measurement is to the known diameter.
In some situations, a penlight may be necessary to illuminate the cornea through the clear side of reticule.
Method 1: Nomogram
Practitioners should use this method for HVIDs of 11.6mm to 12.0mm. Once you find the flattest K reading on the x-axis of the nomogram:
1. Slide up the y-axis to the chosen material (either 59% "A" material or 49% "B" material).
2. The y-axis will intersect a suggested diameter.
3. Slide to the left to find the suggested base curve.
4. Compensate for vertex power.
5. For every 0.1mm larger than 12.0mm, deduct 1.00D from the flattest K reading. For every 0.1mm smaller than 11.6mm, add 1.00D to the flattest K.
Follow the dotted line for an eye with the flattest K value of 43.50D. If you're prescribing 59% water material, it goes through the suggested diameter of 14.6mm and then hits the red line at 8.0mm.
The suggested initial lens would be 8.0mm base curve with a diameter of 14.6mm.
Method 2: Rule of 3
1. Initial base curve selection is 0.3mm flatter than the flat K.
2. Initial diameter is 3.0mm larger than the HVID.
3. Compensate for vertex power
If the flattest K is 43.50D, then convert that to 7.76mm and add 0.3mm, which results in an initial base curve of 8.06mm or, rounding up to the closest 0.1mm, 8.1mm base curve.
If the HVID measured 11.8mm, then the initial diameter would be 14.8mm.
Method 3: Arc Length Designing
Every eye has an arc length that you can determine by knowing the radius of curvature and the HVID. You can determine the arc of a contact lens using the same formula. You need an accurate HVID. Determining the arc length with the formula is time consuming, so SpecialEyes has put it on an Excel Spreadsheet on its Web site to simplify the technique. First, adjust for vertex distance, then use the spreadsheet to determine the lens design.
This example illustrates the use of the formula (Figure 1). To convert the geometric formula for an arc to optometric terminology:
Rather than use the formula, prescribers can use the spreadsheet.
Step 1. Find the K reading on the Y-axis on the left-hand column.
Step 2. Find the measured HVID on the X-axis across the top of the chart.
Step 3. Where they meet is the actual arc length of that cornea.
Step 4. Add 0.3mm to the flattest K (Move three spaces down for the original K).
Step 5. Add 5.0mm to the calculated arc length.
Step 6. On the Y-axis, find the chosen radius of curvature.
Step 7. Move horizontally to the right to find the chosen diameter.
Step 8. Move vertically to determine the arc length (diameter) of the contact lens.
However, to have a lens with an actual arc length of 18.26mm with a base curve of 7.8mm, use the Excel Spreadsheet to find what lens diameter will result in an arc length of 18.26mm. The closest is 18.35mm, now move up the Y-axis to find the contact lens diameter, which in this case is 14.4mm. The final lens order would have a 7.8mm base curve and a 14.4mm diameter (Figure 2).
If on topography you determine that the cornea changes shape from the center to the periphery, then you can estimate. If the cornea, using the formula for a circle, is determined to be one-half at 7.50mm. (45.00D) and one-half at 7.70mm (43.75D), then figure the base curve at 7.60mm. However, keep in mind that you want a smooth alignment to the cornea in front of the pupil.
The two eyes may have the same corneal curvature but different HVID. The arc length method compensates for these differences.
Method 4: Sagittal Depth Method
You can evaluate a fitting correlation between the cornea and the contact lens by the sagittal depth (sag) correlation between the cornea and a contact lens (Figure 3). In a contact lens, sag is the perpendicular line from the apex to a line intersecting the diameter of the lens. The goal of custom soft lens fitting is the proper alignment of the posterior lens surface to the surface of the cornea. If this alignment is improper, there's a degradation of the vision with the contact lens.
If a lens is steeper than the cornea, the patient may report clarity just after the blink. If the lens is too flat for a cornea, the clarity may distort with the blink and move excessively.
One method for expressing curvature is to use the sagitta. You can calculate the sagitta for a circle using the following equation:
SpecialEyes uses a spherical lens design which allows for approximation of the sag of the optic zone using the above sag formula for a sphere. Although the lenses have an edge lift zone that interacts with the conjunctiva, this imperfection will be nullified by a doctor's constant we'll introduce later. André, Davis and Caroline expressed the sagittal height of the cornea using the following equation:
Where "S" is the sagittal depth, "r" is the radius of curvature of the eye, "C" is 1/2 HVID and "p" is the corneal shape factor. You can determine the corneal shape factor using p = 1-e2, where "e" is the eccentricity value from corneal topography. As with other fitting strategies previously discussed, accurate HVID measurement is critical to fitting custom soft contact lenses. Evaluation of the sag formula gives insight into why this is true. Small variations in HVID will have a much greater effect on corneal sag than will changing the radius of curvature or the e value.
Using the above theory, practitioners can use two different approaches to lens design based on the amount of information available and the complexity level desired. Practitioners who don't have topographical information available can use the following sequence:
1. Measure corneal curvature by keratometry.
2. Measure HVID using a reticule as described earlier.
3. Calculate approximate corneal sag using online formula for sag calculation of a circle found at www.1728.com/circsect.htm.
a. Select radius and chord as the known variables.
b. Enter HVID for chord AB.
c. Enter corneal curvature as radius.
d. Segment height ED gives sag.
4. Add "doctor's sag constant" to corneal sag to determine desired contact lens sag. Because of soft lens flexure and interaction of peripheral lens curves with the conjunctiva, the desired contact lens sag will be greater than the corneal sag. It's this constant that will be the design parameter unique to your personal fitting strategy (for example; 1.5 to 2.5 ).
5. Add the desired constant to the HVID to determine lens diameter. This will be another constant unique to the design strategy of each individual that should range from 2.4mm to 3.0mm.
6. Use online formula to determine desired radius of the contact lens.
a. Select segment height and chord as known parameters.
b. Enter desired lens diameter as chord AB.
c. Enter desired lens sag as segment height ED.
d. Calculator will determine lens radius.
Practitioners who wish to refine the fit with even greater precision can use topographical data, along with the corneal sag formula to determine corneal sag as follows:
1. Measure corneal curvature using topographical analysis.
2. Measure HVID using topographical analysis.
3. Use corneal sag formula above to calculate corneal sag. (You can simplify this step by using a programmable calculator or computer program.)
4. Add "doctor's sag constant" to corneal sag to determine desired lens sag.
5. Add the desired constant to the HVID to determine lens diameter.
6. Use online formula to determine desired radius of the contact lens.
a. Select segment height and chord as known parameters.
b. Enter desired lens diameter as chord AB.
c. Enter desired lens sag as segment height ED.
d. Calculator will determine lens radius.
For example, if the K reading is 45.00D (7.50mm) and e is 0.52, then P = 1 – (0.52)2
P= 0.72596
Sag of the eye:
S eye = 2.9427
Now add a standard to the Sag of the eye; in this case we chose 1.8 as a constant, but you can develop a personal standard.
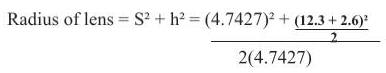
Sag of Lens = 2.9427 + 1.8 = 4.7427
To arrive at the radius of the lens, then
This yields an 8.2mm base curve and a diameter of 14.9mm, for a lens designed to be 2.6mm larger than HVID.
Once you determine your "fitting constants," this method produces amazingly accurate results. Similar to an earlier time of custom GP lenses, these custom soft contact lens designs will vary for prescribers, however, each may be extremely successful as SpecialEyes lathes can accurately produce the desired lenses.
Conclusion
"Personalized Prescribing" starts with customized contact lenses that you can order in any curve and any diameter. Customized contact lenses allow you to develop your own personalized fitting philosophy to strive for a perfect lens design.
Rather than settling for contact lenses that will result in adequate vision some of the time and fail other times without a means to improve results, customized contact lenses theoretically should achieve success every time. You can alter the design for different shaped fissures or for different average humidity.
Personalized Prescribing customizes the contact lens fitting paradigm of achieving a proper fitting contact lens that performs as planned on a routine basis. Patients who have been unsuccessful or marginally successful wearing contact lenses can achieve consistent, comfortable vision. Practitioners can truly experience a personalized prescription that they exclusively develop for each individual contact lens patient.
To obtain references for this article, please visit http://www.clspectrum.com/references.asp and click on document #134
Dr. Becherer is in private practice in Belleville, IL and St. Louis, MO. He is past chair of the AOA Contact Lens and Cornea Section, Past President of the Heart of America Contact Lens Society, Adjunct Assistant Professor of UMSL and Adjunct faculty at SCO
Dr. Kempf is in private practice in Belleville, IL and Saint Louis, MO. He is an Adjunct Assistant Professor at UMSL College of Optometry and Adjunct Faculty member at SCO.
Dr. Davis has an Eyecare specialty practice outside Chicago. He is a diplomate of the Cornea and Contact Lens Section of the AAO and a past chair of the Contact Lens and Cornea Section of the AOA. He is also an inductee to the National Academy Practice in Optometry.


